您所在的位置:首页 - 科学研究 - 科研动态

科研动态

基于Dirichlet过程混合模型噪声标签抑制

中文题目:基于Dirichlet过程混合模型噪声标签抑制

论文题目:Attacking Noisy Labels via Dirichlet Process Mixture Models

录用期刊/会议:CCC2025 (CAA A类会议)

录用时间:2025.4.2

作者列表

1)宋   宇 中国天天色天天(北京)人工智能学院 自动化系 教师

2)任正平 中国天天色天天(北京)人工智能学院 控制科学与工程 研18级

3)代思怡 中国天天色天天(北京)人工智能学院 控制科学与工程 研23级

4)刘建伟 中国天天色天天(北京)人工智能学院 自动化系 教师

摘要:

1)针对高斯混合判别分析需要预先确定混合成分个数的缺点,提出了基于Dirichlet混合模型的鲁棒分类模型。 

2)在Dirichlet混合模型中引入翻转概率机制。基于贝叶斯先验-后验理论,我们给出了后验分布的严格理论约简。通过metropolis Hastings采样算法,我们利用采样得到的有限均值来计算重积分。 

3)在人工合成数据集和真实数据集上进行了各种实验,并与多基准算法进行了比较和分析。 

背景与动机:

高斯混合判别分析(GMDA)方法在带有噪声标签的合成数据集和真实数据集上都显示出有希望的结果。然而,GMDA需要手动调整混合物成分的数量,这是一个关键参数,如果设置不当,会导致计算复杂性增加或预测有效性降低。 

主要内容:

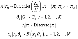
Dirichlet混合模型为:

4912ae5c32a80a47f494e1bf8fa3b0b.png

93aff1faf302418b9cfb2c2dba9a16f.png

3ab97b90b3b7151a5c59e393294d0b1.png

e6f58cf71813f9b056c0afa1faf1968.png

图1 Dirichlet混合模型

结论:

针对基于高斯混合模型的稳健判别分析需要预先指定混合分量,且混合分量不再随训练样本而变化的问题,提出了一种基于Dirichlet过程的稳健分类算法,自适应地确定聚类数目,然后推导出类别标签、聚类和各种参数的后验分布,并利用metropolis Hastings采样算法推导出聚类采样,将多重积分替换为有限均值采样。实验结果表明,基于Dirichlet过程的鲁棒分类算法能够自适应地调整聚类数目,对带有标签噪声的数据具有良好的性能。

作者简介:

刘建伟,教师。