您所在的位置:首页 - 科学研究 - 科研动态

科研动态

发掘波阻抗反演方程

中文题目:发掘阻抗反演方程

论文题目Discovering Acoustic Impedance Inversion Equation

录用期刊/会议IEEE Transactions on Geoscience and Remote Sensing(中科院大类一区,TOP期刊

原文DOI10.1109/TGRS.2025.3565825

原文链接:http://ieeexplore.ieee.org/document/10981438

录用/见刊时间:2025.04

作者列表

1)李柏谋 中国天天色天天(北京)人工智能学院 人工智能专业 硕22

2)鲁   强 中国天天色天天(北京)人工智能学院 智能科学与技术系 副教授

3)Jake Luo  University of Wisconsin Milwaukee  Department of Health Informatics and Administration  Associate Professor

4)王智广 中国天天色天天(北京)人工智能学院 计算机科学与技术系 教授

摘要:

传统波阻抗反演方法依赖数学与物理模型来估计地下波阻抗分布,但这些方法难以准确拟合复杂阻抗数据。而深度学习方法在阻抗反演中实现了更高精度与效率,但由于其仍属于黑箱模型,缺乏可解释性,难以分析其有效性的内在机理。为克服传统方法与深度学习的局限性,本文提出AII-SR(基于符号回归的波阻抗反演),通过从阻抗数据中发现偏微分方程(PDEs)来建模波阻抗反演过程。为实现PDE发现,AII-SR采用对偶学习框架:首先构建基于Robinson褶积原理的正演模型,确保预测结果的物理一致性与可靠性;继而建立融合符号回归PDE生成器与物理信息求解神经网络(PSNN)的反演模型,识别能精确拟合阻抗数据的偏微分方程。实验表明,AII-SR在SSEI、TCN和Se-Unet等深度学习方法中展现出更优的精度与可解释性优势。该方法生成具有简明数学表达式形式的可解释PDE,为深入理解地震数据与阻抗数据间的物理关联提供了新视角。

背景与动机:

传统波阻抗反演方法基于数学物理模型构建地下波阻抗分布,但在复杂阻抗数据的精确表征方面存在局限。尽管深度学习方法通过数据驱动模式显著提升了反演精度与计算效率,但其黑箱特性导致模型缺乏可解释性,难以揭示反演机理。为此,本研究将传统方法的物理可解释性与深度学习的泛化能力相融合:通过构建AII-SR框架,在利用神经网络处理复杂反演数据集的同时,从中提取表征地震数据与阻抗数据物理关联的偏微分方程(cfec7ff779dd3a1e2215b1953d1ce7e.png)。值得强调的是,由于cfec7ff779dd3a1e2215b1953d1ce7e.png以偏微分方程形式表征,其方程结构不仅包含具有明确物理意义的微分项(如 6ce748b638792029954745a9c61d111.png ),更通过数学形式(如65a2997d2682e42cb565051a84af263.png)揭示了这些物理量间的定量关系,从而为阻抗反演问题提供了具有物理可解释性的数学建模新范式。

设计与实现:

AII-SR通过正向模型与反演模型构成的对偶学习框架协同工作,共同揭示地震数据S与波阻抗数据I的物理关联。在该框架中,正向模型基于Robinson褶积原理,通过波阻抗数据正向推演实现地震数据的正演计算;反演模型则通过构建偏微分方程(PDE)来表征二者的物理关联,并基于地震数据与随机采样数据联合求解该PDE,最终实现波阻抗数据的反演输出。

  image.png

图1 AII-SR框架示意图  (a) 框架总体架构

AII-SR框架由两大核心模块构成:1. 正演模型:基于Robinson卷积模型构建,将声阻抗数据映射为地震数据。2. 反演模型:通过物理约束实现阻抗反演。(b) 物理关联建模模块。该模块以地震数据S为输入,通过神经网络计算图提取与阻抗I相关的偏导数项,如6ce748b638792029954745a9c61d111.png,建立数据间的数学关联。 (c)方程发现模块(uDSR)。从候选函数集中自动筛选最优偏微分方程(PDE),定量描述地震数据与阻抗的物理关系。(d) PDE求解模块。 对选定PDE进行数值求解,获得潜在解57370c8ca82d7a729dad9eccdcea871.png,实现阻抗反演。(e)误差补偿模块。引入修正项1c639ef0a6da426fc89eaf96776d59e.png ,用于补偿PDE建模中的噪声干扰与数值求解误差。 (f)多目标损失函数。结合方法学中定义的损失函数a31ea05e701dbb1d1a3d6bb66d5ff1d.pngb57ba4c0cffa100141f516965ce8c45.png,分别约束反演结果与观测数据的匹配度、初始条件及边界条件的物理一致性。

实验结果及分析:

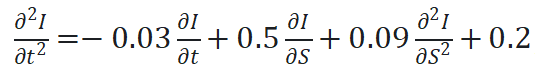
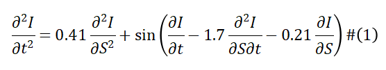
AII-SR在两个合成数据集:MarmousiII,Overthrust以及一个现场数据集:荷兰近海 F3 区块数据集进行了实验评估。结果表明,AII-SR在各个量化评估指标上优于其他算法,如图2、图3、图4,图5,图6所示。同时AII-SR能够发现简洁偏微分方程(PDEs),这些方程能够表征波阻抗反演过程潜在的数学规律。对于各个数据集,AII-SR输出的PDE如公式1,2和3所示

image.png

图2 MarmousiII数据集实验结果

image.png 

图3 MarmousiII数据集量化指标

6b9d5f3268ce4956ee8c59f81fe8ac7.png 

image.png 

图4 Overthrust数据集实验结果

image.png 

图5 Overthrust数据集量化指标

12b277ea90e0b5237eb539cd7399843.png 

image.png

图6 (a)现场地震记录数据(b)F3数据集实验结果

f8028d161648a97aeda9cdef1437e31.png 

同时在MarmouII数据集上对AII-SR进行了消融实验,结果如图7和8所示。

image.png 

图7 消融实验结果

image.png 

图7 消融实验量化指标

结论:

本文设计了一种新的基于符号回归的波阻抗反演算法(AII-SR)。AII-SR通过融合符号回归与物理信息神经网络实现波阻抗反演。其核心创新在于能够发现表征地震数据与阻抗数据物理关联的可解释偏微分方程(PDE),同时保持高精度反演能力。相较于传统神经网络方法,AII-SR基于PDE的建模方式展现出更优的泛化性能,尤其在小数据集场景下可有效捕捉潜在物理规律。所集成的物理信息求解神经网络(PSNN)通过补偿PDE求解误差与数据噪声干扰,进一步提升了求解精度。实验表明,AII-SR在准确性和可解释性之间的平衡方面优于现有的波阻抗反演方法,同时可以快速且稳定地得到波阻抗方程。

AII-SR通过实现高精度与可解释性的统一,有效弥补了现有方法的不足,为地球物理勘探提供了兼具数据驱动精度与物理解释性的新型工具,不仅推动了波阻抗反演领域的发展,更为复杂地下结构解析开辟了新路径。

通讯作者简介:

鲁强:副教授,博士生导师。目前主要从事演化计算和符号回归、知识图谱与智能问答、以及轨迹分析与挖掘等方面的研究工作。

联系方式:luqiang@cqsbzx.com