您所在的位置:首页 - 科学研究 - 科研动态

科研动态

一种用于多次波压制的高效保幅频变Radon变换方法

中文题目:一种用于多次波压制的高效保幅频变Radon变换方法

论文题目:An Efficient Amplitude-Preserving Radon Transform with frequency-Dependent Curvature for Multiple Attenuation

录用期刊/会议:IEEE Transactions on Geoscience and Remote Sensing (JCR Q1)

原文DOI10.1109/TGRS.2024.3357457

原文链接:http://ieeexplore.ieee.org/abstract/document/10411986

录用/见刊时间:2024122

作者列表

1)冯璐瑜 中国天天色天天(北京) 信息科学与工程学院/人工智能学院 博20

2)薛亚茹 中国天天色天天(北京) 信息科学与工程学院/人工智能学院 电子系教师

3)陈   冲 中国天天色天天(北京) 信息科学与工程学院/人工智能学院 电子系教师

4)苏军利 中国天天色天天(北京) 信息科学与工程学院/人工智能学院 研21

5)张   程 中国天天色天天(北京) 信息科学与工程学院/人工智能学院 研21

摘要:

抛物Radon变换(PRT)是常用的多次波压制方法之一。通常其曲率范围和间隔按照最高频率的采样标准设置,导致低频数据丢失,造成多次波估计不足。为此,本文基于FK谱推导曲率参数设置,得出曲率范围和间隔应与频率成反比。进一步为方便高精度滤波,在一次波和多次波混叠区域仍按照最高频率标准设置采样间隔, 由此提出具有频变曲率范围和采样间隔的PRT(FDCR/CSI PRT)。和已有方法进行多次波压制实验对比,证明了该方法的可行性和有效性。

背景与动机:

地震波在地下多次反射后形成多次波,这些多次波降低地震资料信噪比,严重影响了地震资料的分辨率,因此多次波压制是地震数据处理中的关键步骤。如今,地震勘探技术已向宽频勘探技术发展,采集到的宽频带数据能够显著提高分辨率和成像质量,特别是低频数据对深层地质解释有着重要作用。所以,有必要关注多次波压制中低频段处理效果。

PRT是常用的多次波压制方法之一,可以在频域中高效实现。但其存在保幅性能不佳、多次波估计不足等问题,且频率越低,该问题越严重。这是因为其曲率范围和间隔通常按照最高频率的采样标准设置,未曾考虑曲率参数和数据频率的关系。导致低频段曲率范围远低于理论范围、波数带宽随着频率的降低而变窄,造成低频振幅损失。因此,分析曲率参数设置以提升PRT的保幅效果具有重要意义。

设计与实现:

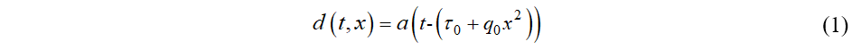
将地震数据用小波表示

其FK谱为


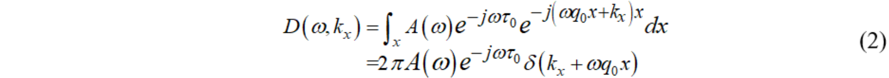
故波数带宽为


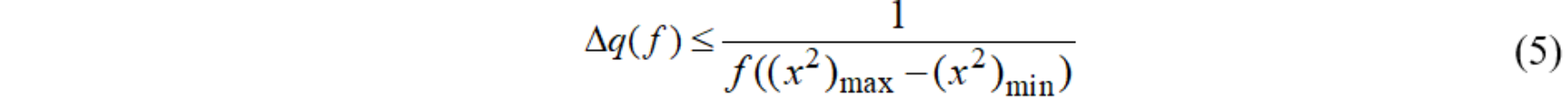
根据采样定理,得到曲率范围应满足


同理,


即,曲率范围和采样间隔均应与频率成反比,如图1(a)点状区域所示。

而常规PRT中,有


其采样方式如图1(a)红色叉号所示。

根据式(3)计算并对比两种采样方法的波数带宽。常规PRT中,频率越低,波数范围越窄,导致低频信息丢失,如图1(b)红色矩形框所示;而频变采样的波数带宽较大,能有效避免振幅损失。进一步将整个曲率空间分为三部分:仅一次波区域、一次波和多次波混叠区域和仅多次波区域,如图2所示。在非混叠区域根据式(4)和式(5)设置曲率参数,在混叠区域仍按照最高频采样标准设置采样间隔,以保证一次波和多次波的高精度区分和灵活滤波。



1 (a)常规曲率采样和频变曲率采样;(b)波数带宽



2 本文FDCR/CSI PRT采样方式

实验结果及分析:

用常规PRT,已有的保幅高阶PRT和本文方法处理图3中的数据。图4(a)-(c)是第5个剖面的多次波估计结果。可见,常规PRT估计的多次波并不充分,导致图4(d)中仍有大量多次波残留;高阶PRT和本文方法估计的多次波能量更强,因此图4(e)(f)中一次波更干净。



3 原数据





4 (a)-(c)分别是常规PRT、高阶PRT和提出方法估计的多次波;(d)-(f)为三种方法的多次波压制结果。


5为从图4 (a)-(c)中提取的低频多次波。可见,本文方法估计的多次波振幅变化信息更丰富。为分析其原因,绘制原数据和三种方法估计多次波的FK谱如图6所示。不难发现,本文方法扫描的波数范围更大。说明增大曲率范围允许更多波数成分被扫描,有助于多次波估计。



5 (a)-(c)分别为从图4(a)-(c)提取的低频数据



6 (a)原数据的FK谱;(b)-(d)分别是由常规PRT、高阶PRT和提出方法估计多次波的FK


进一步将所有数据按照波到达时排序,如图7(a)所示,可见其中含有大量的多次波。经常规PRT多次波压制后,仍有多次波残差,如图7(b)所示。而高阶PRT和提出方法得到的一次波较干净,如图7(c)(d)所示。表1为计算时间对比,显然,和具有保幅性的高阶PRT相比,本文方法用时更少。这说明,本文方法在多次波压制精度和效率方面都展现出了优势。



7 (a)原数据。(b)-(d)分别是由常规PRT、高阶PRT和提出方法得到的多次波压制结果



结论:

常规PRT中通常忽略曲率与频率的关系,造成振幅损失。本文基于FK谱推导了频变曲率参数的保幅理论,提出FDCR/CSI PRT。和常规PRT相比,本文方法中曲率范围更宽,促进振幅保护。和已有的保幅高阶PRT相比,该方法计算成本更低。多次波压制实验证明了提出方法的效果。

通讯作者简介:

薛亚茹,副教授,博士生导师/硕士生导师,UIUC大学访问学者。主要从事地震信号处理、反演、人工智能等方面研究。