您所在的位置:首页 - 科学研究 - 科研动态

科研动态

光储变流器电感损耗分析与计算

中文题目:光储变流器电感损耗分析与计算

论文题目:Analysis and Calculation of Inductance Loss in Photovoltaic Storage Inverter

录用期刊/会议2024 IEEE 4th International Conference on Digital Twins and Parallel Intelligence (DTPI)(EI检索国际会议)

原文DOI:10.1109/DTPI61353.2024.10778734

原文链接:http://ieeexplore.ieee.org/document/10778734

录用/见刊时间:2024.12.12

作者列表

1) 魏学良 中国天天色天天(北京)人工智能学院 电子信息工程系教师

2) 张若谷 中国天天色天天(北京)人工智能学院 新一代电子信息技术(含量子技术)专业 硕 23

3) 曹旭东 中国天天色天天(北京)人工智能学院 电子信息工程系教师

4) 余   蜜   武汉中为高科新能源有限公司

摘要:

为降低光储变流器在空载状态下的损耗并提高能量转换效率,提出了一种基于 T 型三电平逆变电路的光储变流器电感损耗计算方法。基于光储变流器的拓扑结构,分析了光伏电路、储能电路和逆变电路的工作原理。利用磁芯损耗分离模型,计算了不同占空比矩形波激励下光伏电路和储能电路的空载电感损耗。对 T 型三电平逆变电路在正弦脉宽调制(SPWM)下的电感纹波电流进行了量化,并计算了该纹波电流下的空载电感损耗。采用两台 12 千瓦的光储变流器进行实验验证,证明了所提出的空载电感损耗计算方法的有效性。

背景与动机:

微电网能高效可靠地整合分布式可再生能源发电系统(如风电、光电)、储能系统和电力负荷,是未来智能配用电系统的关键部分。光伏 - 储能微电网可平抑光伏发电输出波动,促进光伏、储能、负荷与电网深度融合,实现可再生能源充分利用,光伏 - 储能变流器是光伏 - 储能微电网的具体实现。

提高光伏 - 储能变流器的效率是关键目标。由于电感损耗是影响变流器效率的重要因素,而现有计算方法未完全适用于 T 型三电平光伏 - 储能变流器在空载状态下的情况,因此,本文分析T型变流器的工作原理,提出了适用于其空载状态下电感损耗的计算方法,并通过实验验证该方法的有效性,以助力提升此类变流器的效率。

设计与实现:

通过分析图一所示的T型变流器结构

image.png 

图1 T型变流器拓扑结构

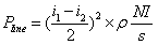
通过分析其中的光伏升压电路、储能双向变流器电路、T型三电平变流器电路的工作原理,进行工作模式分析得到当光储变流器处于空载状态时,光伏升压电路工作在非连续导通模式,此时电感损耗近似为0,双向变流器电路工作在连续导通模式,此时电感损耗为:

7b7cc30dd991db446c99b78952a00d9.png 

此时的T型三电平变流器电路工作在SPWM调制模式,分析得到此时的电感损耗为:

4788cebc919796c4c7759fcdf220a29.png

实验结果及分析:

利用图2所示的实验平台,采用了两台光储变流器。功率转换系统 1(PCS - 1)处于并网模式,它将电网能量存储到电池中并输出恒定电压,可将其视为一个电池。功率转换系统 2(PCS - 2)处于离网模式,它与一个光伏模拟源以及由光储变流器 1 充当的电池相连。分别测量了光储变流器 2 在不同电感组合情况下的损耗。

image.png 

图2 光伏储能变流器电感损耗测量示意图

根据分析两组组合的电感绕组中的磁芯数据和铜线数据,以及图3和图4所示的储能电感与变流器电感电流波形。因为工作中单电感损耗难以得到,通过分析不同组合之间的电感差值来进行验证。最终得到了如表1所示的组合电感损耗的理论计算值与实际测量值。

a50f9ef90855a675087aa8e15746de7.png

图3 组合1:储能电感与变流器电感电流波形

 6a6059fb11efa01122c1b0cfb604e53.png

图4 组合2:储能电感与变流器电感电流波形

 

表1 组合电感理论计算损耗差值与实际测量损耗差值

image.png 

根据表1分析得到了从组合1到组合2能够有效降低电感损耗,并且计算差值控制在15%以内,也验证了本文提出电感损耗计算方法的有效性。

结论:

本文基于光储变流器的拓扑结构和工作原理,提出了一种光储变流器空载运行时电感损耗的分析与计算方法。该方法考虑了功率电感的激励波形、调制方式和工作模式,并结合电感制造商提供的磁芯损耗计算公式,得到了与实验数据吻合良好的计算结果,验证了该计算方法的有效性。采用上述计算方法可为功率电感的选型提供参考和指导,有效降低光储变流器或类似电力电子产品的空载损耗。

作者简介:

魏学良,博士,讲师。博士毕业于华中科技大学电力电子在电力系统中的应用专业。主要研究方向为无缝并离网双向储能PCS,多台区柔性互联装置,能量路由器,虚拟同步电机VSG,交直流微网系统,光伏、储能、充电桩变换器,高频UPS,车载电源,光储柴一体机系统,光储柴工商业系统,油田边探井新能源微网系统,动态电压恢复器DVR,双电源无缝切换装置,有源滤波器APF,静止无功发生器SVG等。