您所在的位置:首页 - 科学研究 - 科研动态

科研动态

用于SP测井分析问题的自适应形状参数RPIM方法和基准

中文题目:用于SP测井分析问题的自适应形状参数RPIM方法和基准

论文题目:Adaptive Shape Parameter RPIM for SP Log Analysis: Methods and Benchmarks

录用期刊/会议:IEEE Transactions on Geoscience and Remote Sensing (JCR Q1, TOP)

原文DOI:10.1109/TGRS.2023.3348105

原文链接:http://ieeexplore.ieee.org/document/10376191

作者列表

1) 洋 中国天天色天天(北京)信息科学与工程学院/人工智能学院 控制科学与工程 博 20

2) 刘得军 中国天天色天天(北京)信息科学与工程学院/人工智能学院 电子信息工程系 教授

3 昊 中国天天色天天(北京)信息科学与工程学院/人工智能学院 信息与通信工程 硕 22

4) 韵 中国天天色天天(北京)信息科学与工程学院/人工智能学院 控制科学与工程 博 21

5) 于笑洋 中国天天色天天(北京)信息科学与工程学院/人工智能学院 信息与通信工程 硕 22

摘要:

本文讨论了一种全新通用自适应无网格方法用于计算模拟奇异自发电位测井问题的尝试。该方法由本团队首次设计提出并被命名为自适应整体形状参数“c”径向基点插值法(OC-RPIM),其采用孪生矩阵新型误差评估策略,基于局部误差评估指标,实现了自适应c算法的架构。该方法在不修改离散点配置和多项式阶数的情况下具有优异的稳定性和准确性。此外,处理含奇点问题也更容易。研究讨论了当OC-RPIM算法应用于SP仿真问题时该架构的通用性和优越性。分析了不同地层条件下SP模拟曲线c的特征规律。该方法为计算大地电磁学(Geo-EM)中的自适应求解算法提供了新的视角。文中所提出的 OC-RPIM 代码已经开源。

背景与动机:



SP测井是Geo-EM的重要技术之一,由于地层介质的电特性差异,流经地层的电流在不同区域会产生不同的电位分布状态;另外,不同的地层本身也会形成自然电位差。造成这种现象的原因是由于地层中离子迁移速率不同以及基岩对电离子的各异性吸附特性,基于上述性质,研究人员可以通过检测井壁电位分布来了解地层变化,该方法实现简单,已成为常用的测井方法。为了有效解释测井曲线,地层岩石电响应的理论分析是必不可少的一步,避免了高昂的成本和成本。井下实验手段潜在的额外风险,与标准解的推导相比,能够处理复杂问题的EM数值计算方法更倾向于在这一步进行处理。对称的空间结构和多电介质条件使SP仿真模型成为地电磁勘探模拟问题的典型代表。

设计与实现:

考虑连续区域,可以通过连续区域中有限数量的数据点X={x1, x2, ..., xm}和该点的对应值u={u1, u2, ..., um}来获得解析解的近似。 基于这一思想提出了点配置无网格方法。 假设u已知,插值关系可以写为(1),其中(2)是基于RBF得到的插值矩阵。

图片.png

求解式(2)即可得到插值系数α={α1, α2, ..., αm}。 一般来说,添加有限数量的多项式可以提高有限点条件下逼近全局函数的能力。 因此,我们将一阶多项式相加,其中β={β1, β2, ..., βm}是附加多项式系数。

图片.png

出现的附加变量需要相同数量的插值点来维持插值过程。可采用下列方式维持变量不变,式(2)左边定义的RBF矩阵A是正定的。将附加多项式的插值修改为多目标优化问题,其中的矩阵闭合表达式为(4)。

图片.png

P通过将点集代入多项式得到,其过程类似于式(2)中的构造A,其中定义内积的双线性形式如(5)所示。

图片.png

对于局部域而言需要满足公式(6),其中是以目标点为原点的局部笛卡尔坐标。 是将 带入基函数的计算结果,是1x(m+n)的常数矩阵。

图片.png

基于公式(6)可获得局部散点与整体求解空间的关系。

主要内容:

1. SP测井问题的仿真模型描述

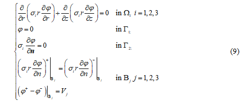
考虑SP不随时间变化的稳态情况,解空间符合式(7)和(8)所示的安培控制方程。

图片.png

由于SP的存在,各个介质界面处的电势差对应于的下标数,其中图中的加号和减号表示电势从边界的负号侧向正号侧增加。 结合边界条件,该问题可概括为阶跃不连续边值问题,如式(9)所示。 通过上述解空间的约束,可以得到不同地层条件下的空间场分布。

图片.png

2. 自适应OC-RPIM算法流程

基于给出的解空间方程以及边界约束,可采用OC-RPIM算法,进行求解,其流程如下图所示,为便于比较该算法的优势,在下图中还给出了h自适应有限元法的算法流程,该算法是目前最为常用的自适应数值求解方法。



实验结果及分析:

OC-RPIM的优化准则采用本团队所提出的误差估计方法。得益于FEM泛函形成原理类似于拟合过程,FEM的的估计误差准则可采用拟合过程中计算所获得的残差。其离散单元可以根据空间残差分布进行自适应细化。为了便于讨论,迭代次数设置为固定值。 下图给出了两种方法多次迭代后真实误差曲线及其相应误差评价指标的变化情况。这里使用一阶有限元法。高阶有限元的计算结果可以在本研究附带的数据库中找到,其链接可以在本研究的末尾找到。因为高阶有限元在这个问题上的结果更差。可以看出,h-FEM 无效,自适应单元细化导致计算结果更差。OC-RPIM可以快速将精度提高到稳定水平。



                                                                                          (a)                                                                                              (b)

Fig. (a) h-FEM iteration two-norm error curve; (b) OC-RPIM iteration two-norm error curve


此外,我们将OC-RPIM算法的计算结果与目前常用的形状参数c选择准则下的无网格方法进行了比较,通过对比发现,该算法始终可以c的数值稳定在合理范围内,而常用的c选择准则非常容易失效。



                                                                                     (a)                                                                                               (b)

Fig. Effect of shape parameter c on solution error. (a): 2-norm error; (b): maximum error



                                                                                        (a)                                     (b)                                                  (c)                                       (d)

Fig. . The model solution under the optimal shape parameter c condition. (a):c=0.3 normalized vector potential; (b):c=0.3 field intensity distribution;(c):c=0.8 normalized vector potential; (d):c=0.8 field intensity distribution

结论:

由于RPIM算法不需要结构化的网格单元,所以该方法在Geo-EM正演中具有显着的优势。 与FEM相比,这种方法更容易处理具有奇点的问题。 但我们通过实验发现该方法对形状参数 c 有很强的依赖性。 对于复杂的问题,更平坦的RBF并不一定有更好的效果。 因此,本文提出一种改进的OC-RPIM用于SP测井问题模拟,并在其中加入自适应形状参数c选择算法来解决形状参数敏感性问题。 实验证明OC-RPIM方法在SP测井模拟中具有较好的精度和稳定性。 本文基于该方法简单模拟了地层导流能力对SP曲线的影响,得出的结论与测井解释结论一致。 此外,我们在研究过程中还跟踪研究了SP测井中形状参数c的相关变化行为。 发现形状参数c的选择可能与问题求解的顺利程度有关。 奇点的存在也会影响形状参数c的选择。 形状参数c的规律行为仍不清楚,但不可否认的是OC-RPIM非常有效的。 在后续研究工作中,我们尝试将该方法扩展到更多的Geo-EM模拟问题,包括时域问题的求解,并进一步研究形状参数c的复杂机制和与问题类型的关系。本研究的开源程序已上传于IEEE DataTort:10.21227/ZRWM-WN29。

作者简介:

刘得军,教授,中国天天色天天(北京)信息科学与工程学院/人工智能学院电子信息工程系,博士生导师。研究方向:电磁测量方法与数值模拟技术、电缆高速数据传输理论与技术、机电测量系统虚拟样机设计等。总计发表科学论文150余篇。

联系方式:liudj65@163.com